• У меня получается 12,5/100 . Должно быть правильно, вместо а и б подставил данные значения, сначала в уме все рассчитал, потом на калькуляторе проверил, верный ответ = 0,75 , у меня получилось 12,5/100 ...

    question img

Ответы 1

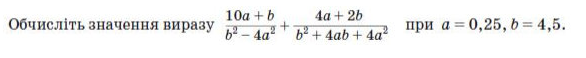
  •  \frac{10a+b}{b^2-4a^2 } +\frac{4a+2b}{b^2+4ab+4a^2}= \frac{10a+b}{(b-2a)(b+2a) } +\frac{2(2a+b)}{(2a+b)^2}=\frac{10a+b}{(b-2a)(b+2a) } +\frac{2}{2a+b}= \frac{10a+b+2b-4a}{(b-2a)(b+2a)} = \frac{6a+3b}{(b-2a)(b+2a)} = \frac{3(2a+b)}{(b-2a)(b+2a)} = \frac{3}{b-2a} a=0.25b=4.5\frac{3}{b-2a} = \frac{3}{4.5-2*0.25} = \frac{3}{4.5-0.5} = \frac{3}{4}=0.75
    • Автор:

      leonunbc
    • 6 лет назад
    • 0
  • Добавить свой ответ

Войти через Google

или

Забыли пароль?

У меня нет аккаунта, я хочу Зарегистрироваться

How much to ban the user?
1 hour 1 day 100 years