• Прошу, помогите :] Надо найти Х и У
    \(^_^)/

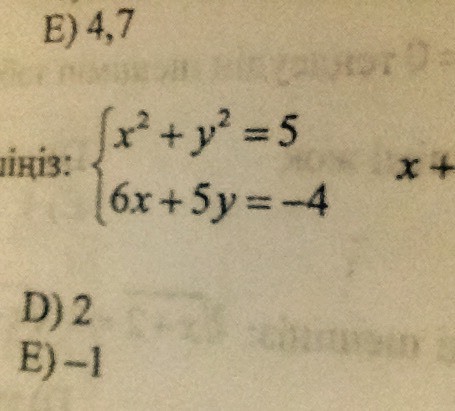
    question img

Ответы 2

  • спасибо \(^0^)/ 7(*H
    • Автор:

      brian2j6t
    • 6 лет назад
    • 0
  • Решение смотри в приложении
    answer img
    • Автор:

      holden265
    • 6 лет назад
    • 0
  • Добавить свой ответ

Войти через Google

или

Забыли пароль?

У меня нет аккаунта, я хочу Зарегистрироваться

How much to ban the user?
1 hour 1 day 100 years