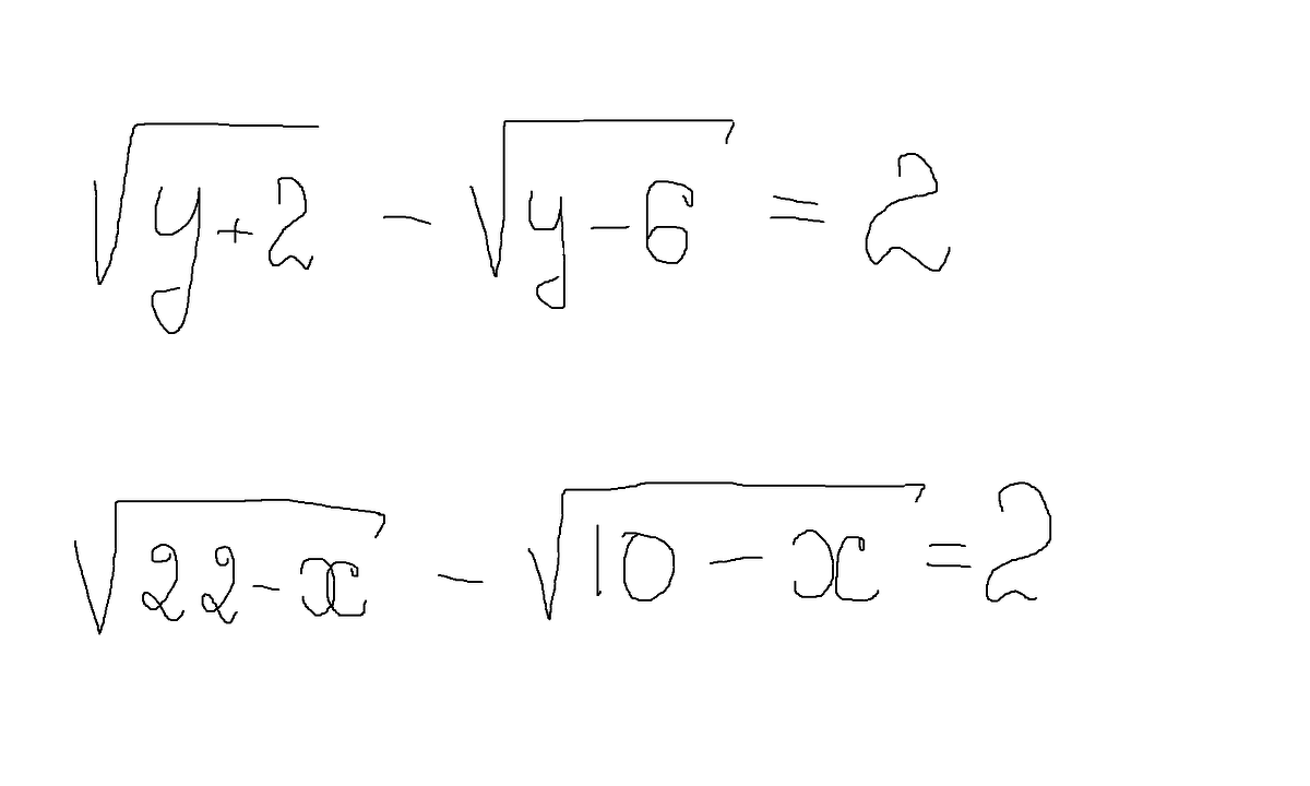
• Уравнения с корнями. Пожалуйста, решите хотя-бы одно!

    question img

Ответы 5

  • Ваши решения замечательные! С ответами все сходится. Очень все понятно и доходчиво. И решение на фото - это очень удобно. Какая удача, что я на Вас попала в сети.
    • Автор:

      jesslamb
    • 6 лет назад
    • 0
  • Если найдете время, посмотрите пожалуйста, еще уравнение с модулями! Заранее благодарна!
    • Автор:

      bebe73
    • 6 лет назад
    • 0
  • Ваше решение тоже очень интересное. Обязательно возьму на заметку. Очень хороший и довольно доступный способ . Очень Вам благодарна!
    • Автор:

      consuelo
    • 6 лет назад
    • 0
  • решение смотри в приложении
    answer img
    • Автор:

      holden265
    • 6 лет назад
    • 0
  • Это иррациональные уравнения.Решения смотри во вложении:
    answer img
  • Добавить свой ответ

Войти через Google

или

Забыли пароль?

У меня нет аккаунта, я хочу Зарегистрироваться

How much to ban the user?
1 hour 1 day 100 years