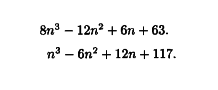
• Доказать что число при натуральных n является составным

    question img

Ответы 1

  • Повозившись с решением этих кубических уравнений, можно просто проверить, раскрыв скобки, что  первое равно (2n+3)(4n²-12n+21), а второе (n+3)(n²-9n+39). Т.е., оба - составные.
    • Автор:

      lozano25
    • 6 лет назад
    • 0
  • Добавить свой ответ

Войти через Google

или

Забыли пароль?

У меня нет аккаунта, я хочу Зарегистрироваться

How much to ban the user?
1 hour 1 day 100 years