• Помогите решить!! Объясните как делать. Туплю с этим ужасно :(

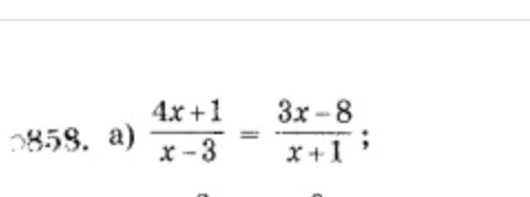
    question img

Ответы 2

  • Приводим к общему знаменателю, домножая на знаменатель другой дроби( (4x+1)(x+1) ) / ( (x-3)(x+1) ) = ( (3x-8)(x-3) ) / ( (x-3)(x+1) )Знаменатели одинаковые, значит числители тоже равны.Но надо помнить, что знаменатель не равен 0: x =/= 3; x=/= -1(4x+1)(x+1) = (3x-8)(x-3)Раскрываем скобки4x^2+x+4x+1 = 3x^2-8x-9x+24Приводим подобныеx^2+22x-23 = 0Решаем квадратное уравнение. Надеюсь, с этим проблем нет.x1 = 1, x2 = -23
  • (4x+1)(x+1)=(x-3)(3x-8)4x^2+4x+x+1=3x^2-8x-9x+24x^2+22x-23=0x_1=-23x_2=1
  • Добавить свой ответ

Войти через Google

или

Забыли пароль?

У меня нет аккаунта, я хочу Зарегистрироваться

How much to ban the user?
1 hour 1 day 100 years