• Решите, пожалуйста, уравнения с корнями(иррациональные уравнения.)

    question img

Ответы 1

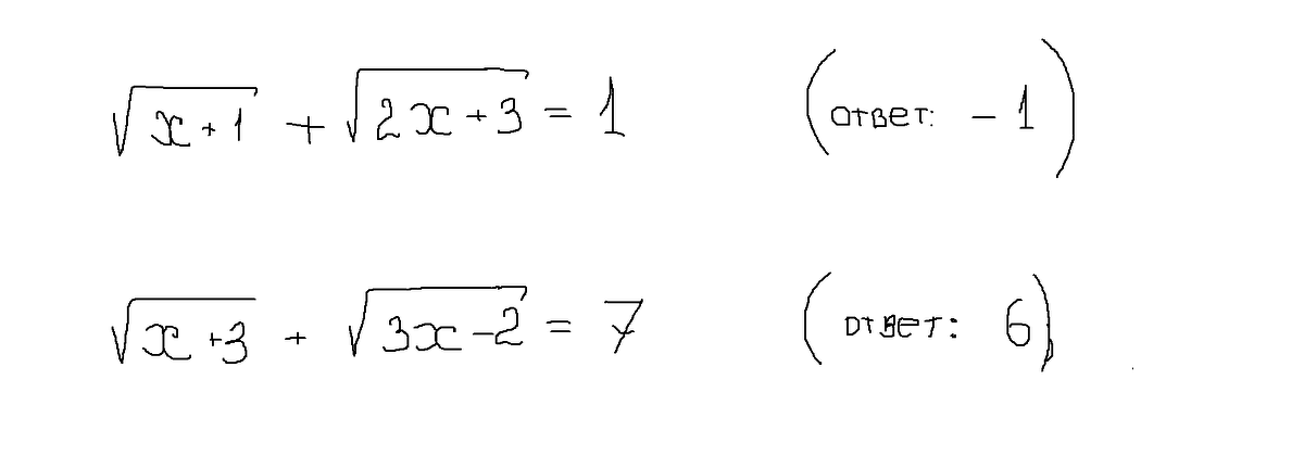
  •  \sqrt{x+1}+ \sqrt{2x+3}  =1ОДЗ: \left \{ {{x+1 \geq 0} \atop {2x+3 \geq 0}} ight.  \left \{ {{x \geq -1} \atop {x \geq -1.5} ight. x ∈ [-1;+)(\sqrt{x+1}+ \sqrt{2x+3})^2 =1^2x+1+2x+3+2 \sqrt{(x+1)(2x+3)} =12 \sqrt{(x+1)(2x+3)} =-3x-3-3x-3 \geq 0x \leq -14(2 x^{2} +3x+2x+3)=9 x^{2} +9+18x8 x^{2} +20x+12=9 x^{2} +9+18x x^{2} -2x-3=0D=4+12=16x_1=-1
x_2=3  не подходитОтвет: -1№ 2 \sqrt{x+3} + \sqrt{3x-2} =7ОДЗ: \left \{ {{x+3 \geq 0} \atop {3x-2 \geq 0}} ight.  \left \{ {{x \geq -3} \atop {x \geq  \frac{2}{3} }} ight. x ∈ [ \frac{2}{3} ;+)( \sqrt{x+3} + \sqrt{3x-2})^2 =7^2x+3+3x-2+2 \sqrt{(x+3)(3x-2)} =492 \sqrt{(x+3)(3x-2)} =48-4x \sqrt{(x+3)(3x-2)} =24-2x24-2x \geq 0-2x \geq -24x \leq 12( \sqrt{(x+3)(3x-2)})^2 =(24-2x)^2(x+3)(2x-3)=576+4 x^{2} -96x3 x^{2} -2x+9x-6=576+4 x^{2} -96x x^{2} -103x+582=0D=10609-2328=8281=91^2x_1=6x_2=97  не подходитОтвет: 6
    • Автор:

      gigi
    • 6 лет назад
    • 0
  • Добавить свой ответ

Войти через Google

или

Забыли пароль?

У меня нет аккаунта, я хочу Зарегистрироваться

How much to ban the user?
1 hour 1 day 100 years