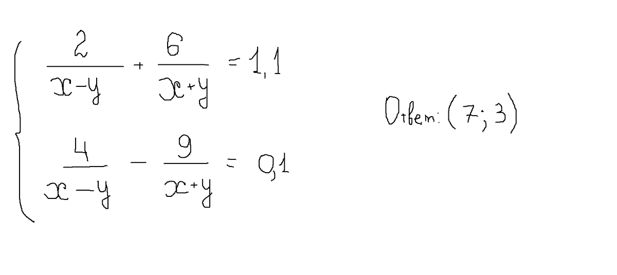
• Пожалуйста, решите систему уравнений.
    8 класс.

    question img

Ответы 3

  • К сожалению, мой компьютер не открывает файл в этом формате!
  • щелкните мышкой по документу, в левом нижнем углу экрана появится прямоугольник. щелкните по нему, он откроетсянекоторые открывают в новом окне и т.д.если хотите, напишите мне в личку адрес электронной почты, я Вам отправлю на почту, может быть там откроет
    • Автор:

      mateo73
    • 6 лет назад
    • 0
  • решение во вложении  -----
    answer img
    • Автор:

      makayla
    • 6 лет назад
    • 0
  • Добавить свой ответ

Войти через Google

или

Забыли пароль?

У меня нет аккаунта, я хочу Зарегистрироваться

How much to ban the user?
1 hour 1 day 100 years