• В первом ответ: x1=pi/4 +pi*n/2; x2=±pi/6+pi*n
    Во втором ответ: x1=pi/2 +2p*n; x2=±pi/3+2pi*n

    question img

Ответы 1

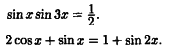
  • 1) sinx*sin3x=0.50.5*(cos2x-cos4x)=0.5cos2x-cos4x=1cos2x-2cos^{2}2x+1=12cos^{2}2x-cos2x=0cos2x*(2cos2x-1)=01.1) cos2x=02x= \frac{ \pi }{2}+ \pi k, k∈Zx= \frac{ \pi }{4}+ \frac{ \pi k}{2}, k∈Z1.2) cos2x=0.52x=+-\frac{ \pi }{3}+2 \pi k, k∈Zx=+-\frac{ \pi }{6}+ \pi k, k∈Z2) 2cosx+sinx=1+sin2x2cosx+sinx-1-2sinx*cosx=0(2cosx-2sinx*cosx)+(sinx-1)=0-2cosx*(sinx-1)+(sinx-1)=0(sinx-1)*(1-2cosx)=02.1) sinx=1x= \frac{ \pi }{2}+2 \pi k , k∈Z2.2) cosx=0.5x=+-\frac{ \pi }{3}+2 \pi k, k∈Z
    • Автор:

      hall
    • 6 лет назад
    • 0
  • Добавить свой ответ

Войти через Google

или

Забыли пароль?

У меня нет аккаунта, я хочу Зарегистрироваться

How much to ban the user?
1 hour 1 day 100 years