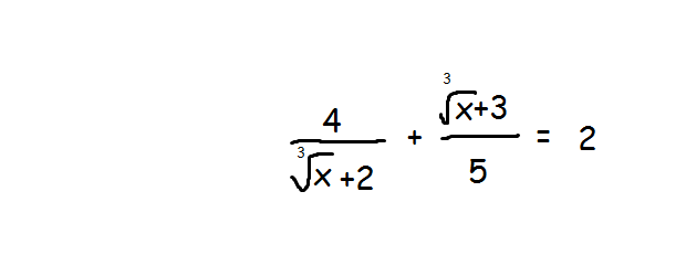
• Как решить уравнение: 4/(3^sqrt (x)+(3^sqrt (x)+3)/5=2 ?

    question img

Ответы 1

  • Замена корень куб.(x) + 2 = y, тогда корень куб(x) + 3 = y + 14/y + (y+1)/5 = 2Умножаем все на y и на 54*5 + y(y+1) - 2*5y = 020 + y^2 + y - 10y = y^2 - 9y + 20 = 0(y - 4)(y - 5) = 01) y = корень куб(x) + 2 = 4корень куб(x) = 4 - 2 = 2x1 = 2^3 = 82) y = корень куб(x) + 2 = 5корень куб(x) = 5 - 2 = 3x2 = 3^3 = 27
  • Добавить свой ответ

Войти через Google

или

Забыли пароль?

У меня нет аккаунта, я хочу Зарегистрироваться

How much to ban the user?
1 hour 1 day 100 years