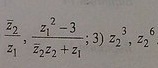
• Вычислить (на фото)....
    z₁=5-6i
    z₂=-√6-√6i

    question img

Ответы 1

  • 1)(-√6+√6i)/(5-6i)=(-√6+√6i)(5+6i)/(5-6i)(5+6i)=(-5√6-6√6i+5√6i-6√6)/(25+36)==(-11√6-√6i)/612)[(5-6i)²-3]/[(-√6+√6i)(-√6-√6i)+(5-6i)]=(25-60i-36-3)/(6+6+5-6i)==(-14-60i)/(17-6i)=(-14-60i)(17+6i)/(289+36)=(-238-84i-1020i+360)/325==(122-1104i)/3253)(z2)³(-√6-√6i)³=-6√6-18√6i+18√6+6√6i=12√6-12√6i(z2)^6=(12√6-12√√6i)²=144*6-2*144*6i-144*6=-1728i
  • Добавить свой ответ

Еще вопросы

Войти через Google

или

Забыли пароль?

У меня нет аккаунта, я хочу Зарегистрироваться

How much to ban the user?
1 hour 1 day 100 years