• Помогите решить дробно рациональное ур, не получилось в) д)

    question img

Ответы 1

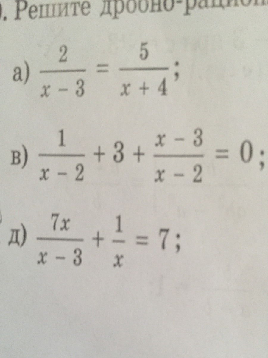
  • a)  \frac{2}{x-2} = \frac{5}{x+4} 
2x+8=5x-15-3x=-23x= \frac{23}{3} .b)  \frac{1}{x-2} +3+ \frac{x-3}{x-2} Приводим к общему знаменателю: \frac{1+3x-6+x-3}{x-2} =0Знаменатель дроби не может быть равен 0, поэтому:х - 2 ≠ 0х ≠ 2Дробь равна 0, когда её числитель равен 0:4х - 8 = 0х = 8/4 = 2.Но х не может быть равен 2, поэтому задача не имеет решения.д) Приводим к общему знаменателю и приравниваем числители полученных дробей:7x^2+x-3=7x^2-21x22x = 3x = 3/22.
    • Автор:

      leonor46
    • 6 лет назад
    • 0
  • Добавить свой ответ

Войти через Google

или

Забыли пароль?

У меня нет аккаунта, я хочу Зарегистрироваться

How much to ban the user?
1 hour 1 day 100 years