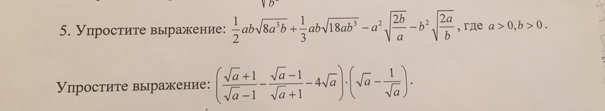
• Помогите, с примером или с обеими, просто, что-то не до поняла, и вот нужна помощь. АЛГЕБРА.

    question img

Ответы 5

  • у меня хорошо видно. Все подробно расписано. Ни в какие сети или почтой решения не пересылаю
  • здесь записано ВСЕ решение
    • Автор:

      lucy18pa
    • 6 лет назад
    • 0
  • нет, я имела ввиду переписать и по одному отправить. здесь
    • Автор:

      dantew3wh
    • 6 лет назад
    • 0
  • не понимаю, что вам не понятно. Все записано через редактор формул, как и в рукописном тексте. Все разборчиво и понятно. Если что-то не отображается - попробуйте обновить страницу
  • ой, простите;) И СПАСИБО ВАМ ОГРОМНОЕ, ВЫ МОЙ ГЕРОЙ
  • Добавить свой ответ

Войти через Google

или

Забыли пароль?

У меня нет аккаунта, я хочу Зарегистрироваться

How much to ban the user?
1 hour 1 day 100 years