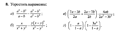
• Помогите с номером 8 , во вложениях! срочно ! Модераторы и анти-спамеры , не удаляйте мое задание. Там всего 1 номер , всего таких заданий 4 , я и так делю как могу.

    question img

Ответы 2

  • a(a-b)(a+b)/(a-b) -(a-b)(a²+a+1)/(a-b)(a+b)=a+b -(a²+a+1)/(a+b)==(a²+2ab+b²-a²-ab-b²)/(a+b)=ab/(a+b)бx/(x²+y²)-y(x-y)²/(x-y)(x+y)(x²+y²)=x/(x²+y²)-y(x-y)/(x+y)(x²+y²)=(x²-xy-xy+y²)/(x+y)(x²+y²)==(x²+y²)/(x+y)(x²+y²)=1/(x+y)в(7a-3b/2a+(2a-7b)/2b=(7ab-3b²+2a²-7ab)/2ab=(2a²-3b²)/2ab(2a²-3b²)/2ab * 4ab/(2a²-3b²)=2г1- 1/(1-a)=(1-a-1)/(1-a)=-a/(1-a)1-3a²/(1-a)=(1-a-3a²)/(1-a-a/(1-a) : (1-a-3a²)/(1-a)=-a/(1-a) * (1-a)/ (1-a-3a²)=a/(3a²+a-1)
  • \frac{a^2-b^2}{a-b}-\frac{a^3-b^3}{a^2-b^2}=\frac{(a^2-b^2)(a+b)-a^3+b^3}{a^2-b^2}=\frac{a^3+a^2b-ab^2-b^3-a^3+b^3}{a^2-b^2}=\\=\frac{ab(a-b)}{(a-b)(a+b)}=\frac{ab}{a+b}\frac{x}{x^2+y^2}-\frac{y(x-y)^2}{x^4-y^4}=\frac{x(x^2-y^2)-y(x-y)^2}{x^4-y^4}=\frac{x^3-xy^2-x^2y+2xy^2-y^3}{x^4-y^4}=\\=\frac{x^3+xy^2-x^2y-y^3}{x^4-y^4}=\frac{x^2(x-y)-y^2(x-y)}{x^4-y^4}=\frac{(x^2-y^2)(x-y)}{x^4-y^4}=\frac{x-y}{x^2+y^2}(\frac{7a-3b}{2a}+\frac{2a-7b}{2b})*\frac{4ab}{2a^2-3b^2}=\frac{7ab-3b^2+2a^2-7ab}{2ab}*\frac{4ab}{2a^2-3b^2}=2(1-\frac{a}{1-a}):(1-\frac{3a^2}{1-a})=\frac{1-2a}{1-a}*\frac{1-a}{1-a-3a^2}=\frac{1-2a}{-3a^2-a+1}
  • Добавить свой ответ

Войти через Google

или

Забыли пароль?

У меня нет аккаунта, я хочу Зарегистрироваться

How much to ban the user?
1 hour 1 day 100 years