• Помогите с номером 7, срочно! Модераторы и анти-спамеры , не удаляйте мое задание. Там всего 1 номер , всего таких заданий 4 , я и так делю как могу. По одному примеру на задание , я добавлять не намерена.

    question img

Ответы 2

  • Огромное вам спасибо!!!!
    • Автор:

      mason601
    • 6 лет назад
    • 0
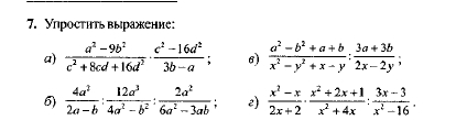
  • \frac{a^2-9b^2}{c^2+8cd+16d^2}*\frac{c^2-16d^2}{3b-a}=\frac{(a-3b)(a+3b)}{(c+4d)^2}*\frac{(c-4d)(c+4d)}{3b-a}=-\frac{(a+3b)(c-4d)}{(c+4d)}\frac{4a^2}{2a-b}:\frac{12a^3}{4a^2-b^2}:\frac{2a^2}{6a^2-3ab}=\frac{4a^2}{2a-b}*\frac{(2a-b)(2a+b)}{12a^3}*\frac{3a(2a-b)}{2a^2}=\\=\frac{2a+b}{3a}*\frac{3a(2a-b)}{2a^2}=\frac{4a^2-b^2}{2a^2}\frac{a^2-b^2+a+b}{x^2-y^2+x-y}:\frac{3a+3b}{2x-2y}=\frac{(a-b)(a+b)+(a+b)}{(x-y)(x+y)+(x-y)}*\frac{2(x-y)}{3(a+b)}=\\=\frac{(a+b)(a-b+1)}{(x-y)(x+y+1)}*\frac{2(x-y)}{3(a+b)}=\frac{2(a-b+10)}{3(x+y+1)}\frac{x^2-x}{2x+2}*\frac{x^2+2x+1}{x^2+4x}:\frac{3x-3}{x^2-16}=\frac{x(x-1)}{2(x+1)}*\frac{(x+1)^2}{x(x+4)}*\frac{(x-4)(x+4)}{3(x-1)}=\\=\frac{(x-1)(x+1)}{2(x+4)}*\frac{(x-4)(x+4)}{3(x-1)}=\frac{(x+1)(x-4)}{6}
    • Автор:

      sorenfxge
    • 6 лет назад
    • 0
  • Добавить свой ответ

Войти через Google

или

Забыли пароль?

У меня нет аккаунта, я хочу Зарегистрироваться

How much to ban the user?
1 hour 1 day 100 years