Помогитеее ребята!!!!!!!!!!!!!!!!!!!!!!!!!!!!!!!!!!!please
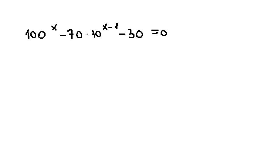
100^x-70*10^(x-1)-30=0 * 70*10^(x-1)=(70*10^x)/10=7*10^x
100^x-7*10^x-30=0
10^x*10^x-7*10^x-30=0
(10^x-10)(10^x+3)=0
рассматриваешь два случая
1)10^x-10=0 2)10^x+3=0
x=1 нет решений
Ответ: х=1
Автор:
francisshk5Добавить свой ответ
ПОМОГИТЕ ПОЖАЛУЙСТА. ОЧЕНЬ ОЧЕНЬ НУЖНО
Найдите и укажите лишнее понятие в перечне. Дайте краткое
пояснение
1. Восприятие, эксперимент, логика, чувственный опыт
2. Производство, потребление, конкуренция, обмен
3. Государство, выборы, право, революция
4. Традиционное, постиндустриальное, гражданское, индустриальное
5. Христианство, православие, ислам, буддизм
Предмет:
ОбществознаниеАвтор:
elisaocorОтветов:
Смотреть
Кто знает кем была создана первая в мире линия сборки автомобилей?
Буду благодарна за ответ)
Предмет:
ОбществознаниеАвтор:
bambiОтветов:
Смотреть
упростите выражение :1) tg^2B*ctg^2B-cosB
2)1+tga
--------- =tga
1+ctga
Предмет:
Русский языкАвтор:
daisyrxu7Ответов:
Смотреть