• .....................решить с полным описанием...........................
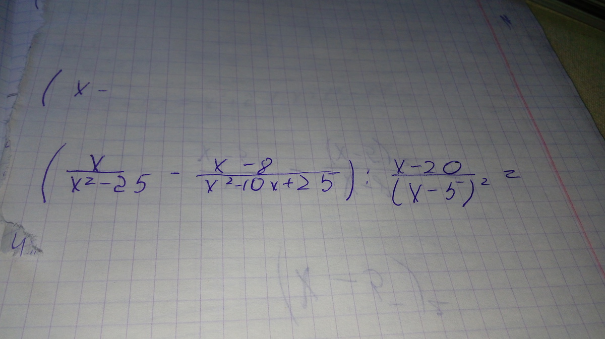
    скобки открываются первая дробь числитель Х знаменатель Х^2-25
    вторая дробь числитель Х-8 знаменатель X^2-10x+25 скобки закрываются
    разделить третья дробь числитель X-20 знаменатель (x-5)^2

    question img

Ответы 3

  • а если так я фото 2 к заданию прикрипила
    • Автор:

      pixieszbh
    • 6 лет назад
    • 0
  • http://znanija.com/task/12834931
    • Автор:

      yandel
    • 6 лет назад
    • 0
  • я тут попробовала решить,но что-то  не получается ответ.ты посмотри на мое решение,может там поправить что то надо
    answer img
    • Автор:

      shady
    • 6 лет назад
    • 0
  • Добавить свой ответ

Войти через Google

или

Забыли пароль?

У меня нет аккаунта, я хочу Зарегистрироваться

How much to ban the user?
1 hour 1 day 100 years