• Помогите с алгеброй, пожалуйста! Только 8-ой номер! 40 баллов

    question img

Ответы 1

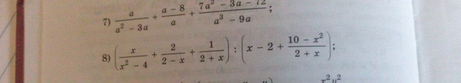
  • ( \frac{x}{ x^{2} -4}+ \frac{2}{2-x} + \frac{1}{2+x}  ):(x-2+  \frac{10- x^{2} }{2+x} ) =\\ 
( \frac{x}{ (x-2)(x+2)}- \frac{2}{x-2} + \frac{1}{x+2}  ):( \frac{x-2}{1} +  \frac{10- x^{2} }{x+2} )= \\ 
( \frac{x-2(x+2)+x-2}{ (x-2)(x+2)} ):(  \frac{(x-2)(x+2)+10- x^{2} }{x+2} )= \\ 
( \frac{x-2x-4+x-2}{ (x-2)(x+2)} ):(  \frac{ x^{2} -4+10- x^{2} }{x+2} )= \\ 
 \frac{-8}{ (x-2)(x+2)} :\frac{6}{x+2} = 
 \frac{-8}{ (x-2)(x+2)} *\frac{x+2}{6} = - \frac{4}{3(x-2)} =- \frac{4}{3x-6}
    • Автор:

      micah6yx0
    • 6 лет назад
    • 0
  • Добавить свой ответ

Войти через Google

или

Забыли пароль?

У меня нет аккаунта, я хочу Зарегистрироваться

How much to ban the user?
1 hour 1 day 100 years