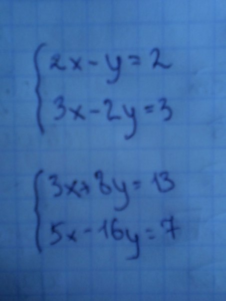
• Пожалуйста, объясните как это решается.
    Просто меня не было на уроке(

    question img

Ответы 2

  • Огромное спасибо!
    • Автор:

      sashal3bp
    • 6 лет назад
    • 0
  • Решение на фото...........
    answer img
  • Добавить свой ответ

Еще вопросы

Войти через Google

или

Забыли пароль?

У меня нет аккаунта, я хочу Зарегистрироваться

How much to ban the user?
1 hour 1 day 100 years