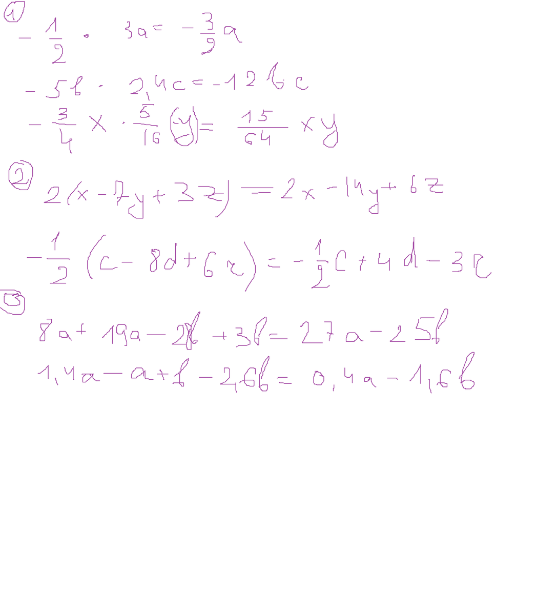
• 1.Спростити вираз
    -1,2 помножити 3а=
    -5в помножити2,4с=
    -3-4це дроб х помножити 5-16 це дроб помножити(-у)=
    2.Розкрити дужки
    2(х-7у+3z)=
    (с-8d+6r)помножити (-1,2)=
    3.зведить подибни додатки
    8а+19а-28в+3в=
    1,4а-а+в-2,6 в=

Ответы 1

  • Дивись на малюнок :)
    answer img
  • Добавить свой ответ

Войти через Google

или

Забыли пароль?

У меня нет аккаунта, я хочу Зарегистрироваться

How much to ban the user?
1 hour 1 day 100 years