• Как решить такое уравнения? Что это за уравнение?
    Можно ОЧЕНЬ подробно разобрать? (чтобы я поняла)

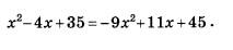
    question img

Ответы 3

  • а что это за уравнение? тир
    • Автор:

      cat3kpv
    • 6 лет назад
    • 0
  • тип*
  • обыкновенное квадратное уравнение вида ax^2+bx+c=0
  • Добавить свой ответ

Войти через Google

или

Забыли пароль?

У меня нет аккаунта, я хочу Зарегистрироваться

How much to ban the user?
1 hour 1 day 100 years