• используя характеристическое свойство , запишите
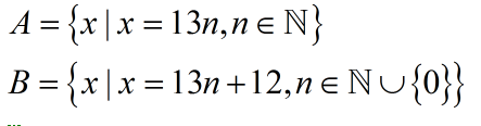
    а} множества A всех натуральных чисел , кратных 13
    б} множества B всех натуральных чисел, которые при делении на 13 дают в остатке 12
    31 БАЛЛ СРОЧНО

Ответы 1

  • множества B всех натуральных чисел, которые при делении на 13
    answer img
  • Добавить свой ответ

Войти через Google

или

Забыли пароль?

У меня нет аккаунта, я хочу Зарегистрироваться

How much to ban the user?
1 hour 1 day 100 years