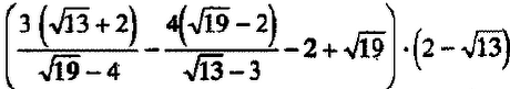
• Необходимо подробное решение. Ответ должен быть - (-54)

    question img

Ответы 4

  • Вторую картинку, верхушку, можете переснять, пожалуйста.
  • верхние строки второй картинки повторяют нижние строки на первой. продублировал т.к. объем решения большой.
    • Автор:

      gunner66
    • 6 лет назад
    • 0
  • Спасибо, не заметил.
    • Автор:

      kailyn
    • 6 лет назад
    • 0
  • \\\\\\\\\\\\\\\\\\\\\\\\\\\\\\\
    answer img
    • Автор:

      tycilz
    • 6 лет назад
    • 0
  • Добавить свой ответ

Еще вопросы

Войти через Google

или

Забыли пароль?

У меня нет аккаунта, я хочу Зарегистрироваться

How much to ban the user?
1 hour 1 day 100 years