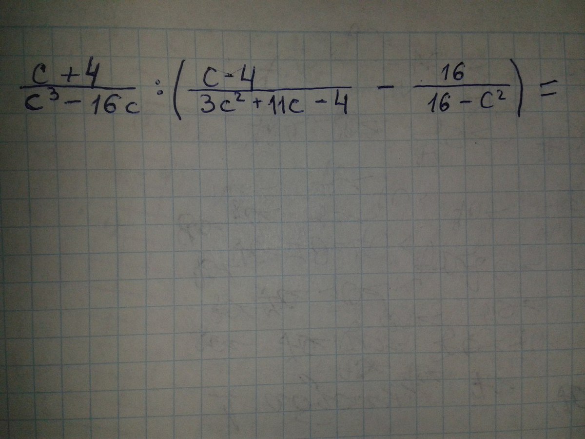
• Помогите решить уравнение. там и сокращение дробей, и разложение квадратного трёхчлена на множители.

    question img

Ответы 1

  • 3с²+11с-4__________с³+40с²
    • Автор:

      bolton
    • 6 лет назад
    • 0
  • Добавить свой ответ

Войти через Google

или

Забыли пароль?

У меня нет аккаунта, я хочу Зарегистрироваться

How much to ban the user?
1 hour 1 day 100 years