• помогите решить,сфоткайте решеный пример,пожалуйста ну я так прошу,мне очень надо,кто здесь очень добрый и понимательный обратите внимание!!!!!!!

    question img

Ответы 1

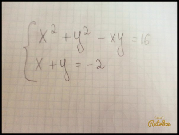
  • {x²+y²-xy =16; x+y = -2 ⇔{(x+y)² -3xy =16 ; x+y = -2⇔{ (-2)² -3xy =16 ; x+y =-2. {4 -3xy =16 ;x+y = - 2 ⇔{x+y =-2 ; xy = - 4. t² +2t -4 =0 ;  t ₁= -1-√5 ; t₂ =-1+√5. (x₁ = -1-√5  ; y₁ =- 1+√5 ) (x₂= -1+√5 ;   y₂=-1-√5)ответ:  {  (-1-√5 ; -1+√5) ,   (-1+√5 ; -1-√5)  }****************************************можно было сразу поставить  y = -2 -x   из второго уравнения  в первое : x² +  -x-2) )² -x(-x-2) =16; x² +4+4x+x² +2x +x² =16 ; 3x² + 6x -12=0 ; x²+2x -4 = 0. x₁ = -1-√5 ; x₂ = -1+√5.
    • Автор:

      vanceqoym
    • 6 лет назад
    • 0
  • Добавить свой ответ

Еще вопросы

Войти через Google

или

Забыли пароль?

У меня нет аккаунта, я хочу Зарегистрироваться

How much to ban the user?
1 hour 1 day 100 years