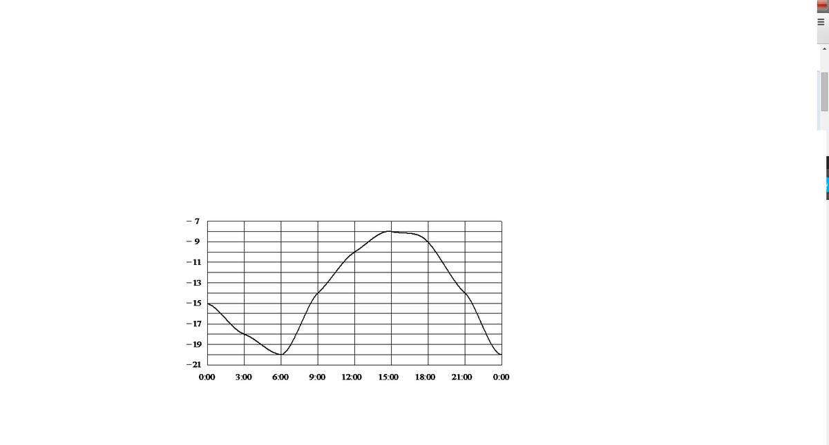
• На рисунке показано, как изменялась температура воздуха на протяжении одних суток. По горизонтали указано время суток, по вертикали — значение температуры в градусах Цельсия. Найдите разность между наибольшим и наименьшим значениями температуры во второй половине суток. Ответ дайте в градусах Цельсия.

    question img

Ответы 1

  • Наименьшее значение температуры во второй половине дня в 0:0 - - 20°©, наибольшее - -8°©-8--20=12°©Ответ: 12°©
  • Добавить свой ответ

Еще вопросы

Войти через Google

или

Забыли пароль?

У меня нет аккаунта, я хочу Зарегистрироваться

How much to ban the user?
1 hour 1 day 100 years