• Пожалуйста помогите. Г И Е
    Выполните сложение или вычитание дробей

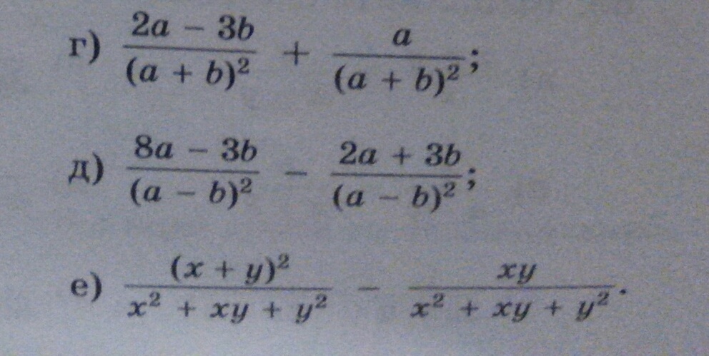
    question img

Ответы 7

  • Ой -3*(a+b)^
    • Автор:

      madelyn
    • 6 лет назад
    • 0
  • если вынести -3, то в скобке останется (b-a)
  • Но с минусом же b
  • А все, я поняла
  • проверяйте вынесение за скобки мысленным внесением обратно )
  • дроби с одинаковыми знаменателями, поэтому складываем только числители: \frac{2a-3b+a}{(a+b)^2} =\frac{3a-3b}{(a+b)^2}  \\ \frac{8a-3b-2a-3b}{(a-b)^2} =\frac{6a-6b}{(a-b)^2} =\frac{6(a-b)}{(a-b)^2} = \frac{6}{a-b}  \\   \frac{x^2+2xy+y^2-xy}{x^2+xy+y^2} =\frac{x^2+xy+y^2}{x^2+xy+y^2}=1
  •  \frac{2a-3b}{(a+b)^{2}} + \frac{a}{(a+b)^{2}} = \frac{2a-3b+a}{(a+b)^{2}} = \frac{3a-3b}{(a+b)^{2}}  \\  \frac{8a-3b}{(a-b)^{2}} - \frac{2a+3b}{(a-b)^{2}} = \frac{8a-3b-2a-3b}{(a-b)^{2}}= \frac{6a-6b}{(a-b)^{2}} = \frac{6(a-b)}{(a-b)^{2}} = \frac{6}{a-b}  \\  \frac{(x+y)^{2}}{x^{2}+xy+y^{2}} - \frac{xy}{{x^{2}+xy+y^{2}}} = \frac{(x+y)^{2}-xy}{{x^{2}+xy+y^{2}}} = \frac{x^{2}+y^{2}+2xy-xy}{{x^{2}+xy+y^{2}}} = \frac{{x^{2}+xy+y^{2}}}{{x^{2}+xy+y^{2}}} =1
  • Добавить свой ответ

Войти через Google

или

Забыли пароль?

У меня нет аккаунта, я хочу Зарегистрироваться

How much to ban the user?
1 hour 1 day 100 years