• Есть тождество, есть решение(вложения). Прошу объяснить по шагам и с формулами все действия. 

    question img

Ответы 2

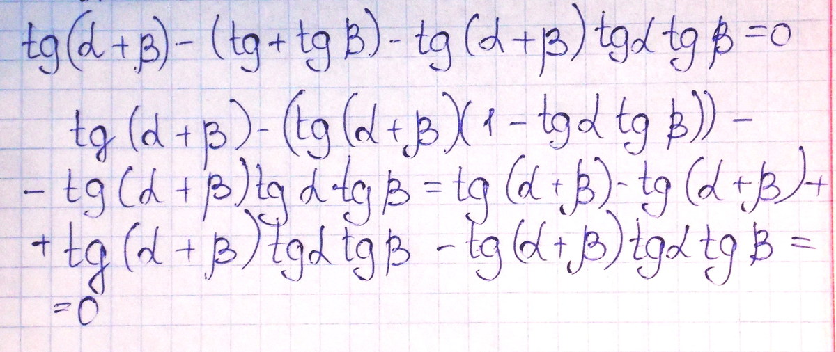
  • используем формулу

     

                    tga+tgb

    tg(a+b)=---------------

                  1-tga*tgb

    имеем

    tga+tgb                          tga+tgb

    ------------- - (tga+tgb)-  -------------*tga*tgb=

    1-tga*tgb                       1-tga*tgb

     

    tga+tgb-(tga+tgb)(1-tga*tgb)-(tga+tgb)*tga*tgb

    ------------------------------------------------------------ =

                             1-tga*tgb

     

    tga+tgb-(tga+tgb)+(tga+tgb)*tga*tgb-(tga+tgb)*tga*tgb

    ---------------------------------------------------------------------- = 0

                              1-tga*tgb

  • по формуле:tg(a+b)=(tga+tgb)/(1-tga*tgb)              

     

    (tga+tgb)/(1-tga*tgb)-(tga+tgb)-(tga+епи)/(1-tga*tgb) * tga*tgb=0

    (tga+tgb-(tga+tgb)(1-tga*tgb)-(tga+tgb)*tga*tgb)/(1-tga*tgb)=0

    (tga+tgb-(tga+tgb)+(tga+tgb)*tga*tgb-(tga+tgb)*tga*tgb)/(1-tga*tgb)=0                

                

    • Автор:

      toots
    • 6 лет назад
    • 0
  • Добавить свой ответ

Войти через Google

или

Забыли пароль?

У меня нет аккаунта, я хочу Зарегистрироваться

How much to ban the user?
1 hour 1 day 100 years