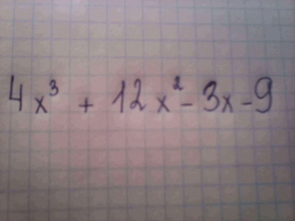
• Разложить многочлены на Множетели!
    Помогите пожалуйста

    question img

Ответы 2

  • Спасибо
    • Автор:

      mcdonald
    • 6 лет назад
    • 0
  • 4x2(x+3)-3(x+3)=(4x2-3)(x+3)
    • Автор:

      fawnjtwb
    • 6 лет назад
    • 0
  • Добавить свой ответ

Войти через Google

или

Забыли пароль?

У меня нет аккаунта, я хочу Зарегистрироваться

How much to ban the user?
1 hour 1 day 100 years