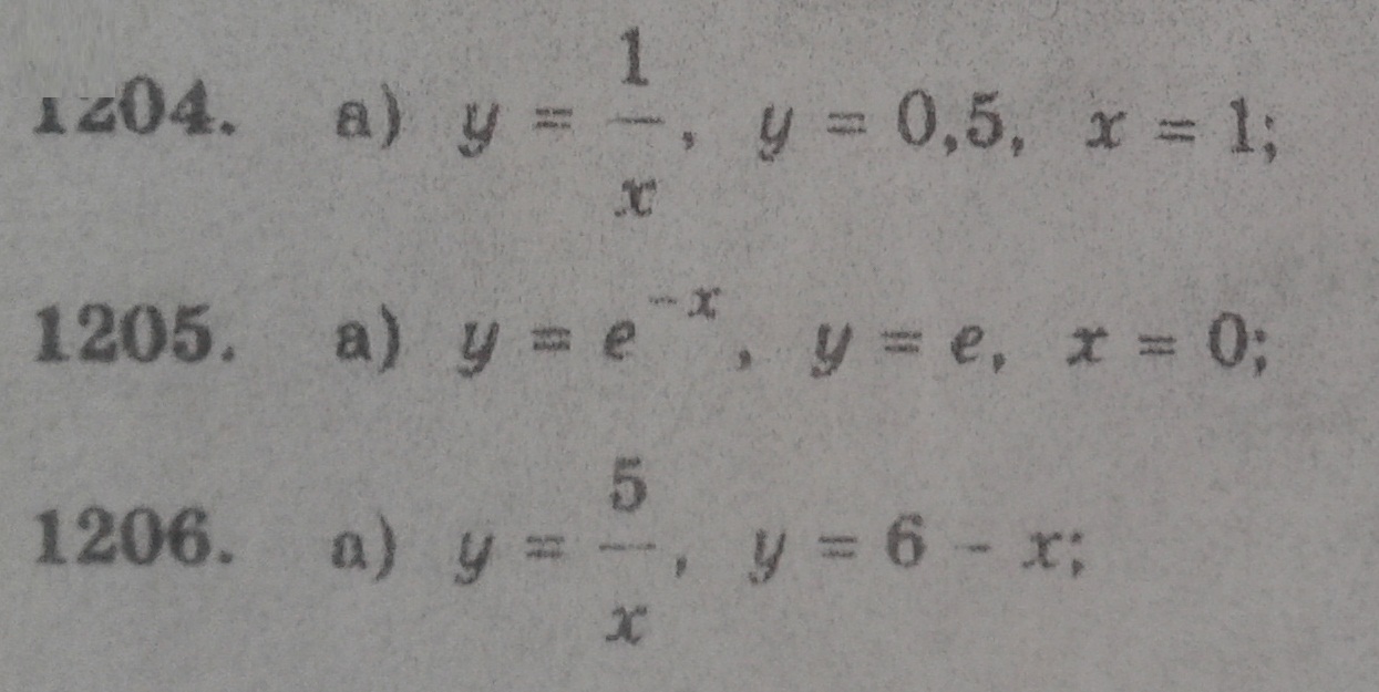
Вычислить площадь фигуры,ограниченной линиями.
Предмет:
АлгебраАвтор:
barkleyralcЗаранее прошу прощение за некачественные рисунки.
p.s. у ZORGe ошибка во втором примере.
Автор:
rugerДобавить свой ответ
МОЕ ЛЮБИМОЕ ЖИВОТНОЕ-СОБАКА. СОБАКА-ДРУГ ЧЕЛОВЕКА. СОБАКИ САМЫЕ ПРЕДАННЫЕ ЖИВОТНЫЕ, В ТРУДНОЙ СИТУАЦИИ ОНА ВСЕГДА ЗАЩИТИТ ТЕБЯ. ДОМА ЖЕ ОНИ МИЛЫЕ И ДОБРЫЕ СУЩЕСТВА. С СОБАКОЙ МОЖНО ИГРАТЬ, НО ТАКЖЕ ЕЕ НУЖНО И ОБУЧАТЬ РАЗНЫМ КОМАНДАМ, ЗАБОТИТЬСЯ О НЕЙ, И ТОГДА ОНА БУДЕТ К ТЕБЕ ОТНОСИТЬСЯ ТАКЖЕ. ПЕРЕВЕДИТЕ, ПОЖАЛУЙСТА НА КАЗАХСКИЙ ЯЗЫК..
Предмет:
Қазақ тiлiАвтор:
garciaОтветов:
Смотреть
килограмм сыра стоит 4.5 манат. сколько сыра купит покупатель на 1,26 манат? сколько нужно заплатить за 100 г сыра?
Предмет:
МатематикаАвтор:
angelrobinsonОтветов:
Смотреть
Предмет:
ХимияАвтор:
jimmuyolsenОтветов:
Смотреть
Предмет:
МатематикаАвтор:
carson544Ответов:
Смотреть