Как разложить многочлен на множители? Объясните вообще не понимаю((
Предмет:
АлгебраАвтор:
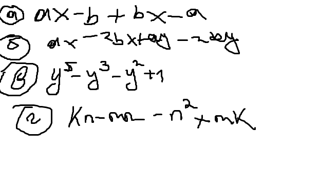
snickersi7xwРассмотрим первый пример.
ax-b+bx-a
смотришь где в этом примере есть одинаковые буквы, заключаешь в скобки так, чтобы можно было вынести за скобки общую букву или цифру.(при этом сохраняя знаки в скобках, но между скобками плюс)
(ax-a)+(-B+BX)
ТЕПЕРЬ ВЫНОСИШЬ ОБЩЕЕ ЧИСЛО
ИЗ СКОБКИ 1 В ОБОИХ ЧЛЕНАХ МНОГОЧЛЕНА ЕСТЬ А, ВЫНОСИШЬ ЕГО ЗА СКОБКИ, А ИЗ 2 СКОБКИ ЕСТЬ b
a(x-1)+b(-1+X) у тебя получилось, но в скобках не одинаковые числа, а противоположные, значит ты должна поменять знаки между скобками, т.е. вынести минус за 2 скобку(поменять знаки)
a(x-1)-b(x-1) теперь в скобках все одинаково, ты вносишь скобку и умножаешь на множители перед скобками в отдельной скобке (x-1)(a-b)
остальные сама сделай. не получится помогу только сообщение отправь
Автор:
princess18Добавить свой ответ
1. постройте график функции y=√x-2. укажите множество значений функции.
2. постройте график функции y=-x^2+2x+3. с помощью графика найдите
а) промежутки возрастания и убывания функции
б) наибольшие значение функции
в)при каких значениях x y<0
3. решите графически уравнение x^2-2x-8-0
4. решите графически систему уравнений
{y=lxl+4
{y=-5/x-2
Предмет:
АлгебраАвтор:
anabellesantanaОтветов:
Смотреть
Посдствиями Смуты для экономики России были: а)сокращение посевных площадей б)нехватка рабочих рук в) пополнение царской казны г)разоренире крестьянских хозяйств д) упадок промыслов е) упадок ремесленного производства ж) оживление торговли какой неправильный ответ помогите пожалуйста
В первый день Маша прочитала 36% книги, во второй -5/8 остатка,после чего осталось прочитать 48 страниц. Сколько страниц в книге?