Решите уравнение по формуле корней и сделайте проверку по теореме,обратной теореме Виета:
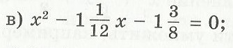
уравнение на фото
Предмет:
АлгебраАвтор:
samsondaughertyx^2-13/12x-11/8=0
24x^2-26x-33=0
D=676+3168=3844=62^2
x1=(26-62)/48=-36/48=-3/4
x2=88/48=22/12=11/6
по т Виета
x1+x2=-3/4+11/6=-9/12+22/12=13/12
x1*x2=-3/4*11/6=-11/8
Автор:
romanberryДобавить свой ответ
У максима было 50 компакт-дисков с играми на время каникул он дал Антону 0,3 этого количества, а Вадиму-0,4 остатка. Сколько дисков осталось у Максима
Предмет:
МатематикаАвтор:
brown25Ответов:
Смотреть
Один из корней уравнения 2x^2+3x+q=0 равен 3. Определите другой корень и коэффициент q.
Предмет:
ФизикаАвтор:
adelaide41Ответов:
Смотреть