• помогите решить 7 задание найти производную функции, задание во вложении

    question img

Ответы 2

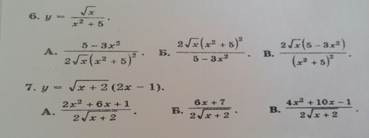
  • y=√(x+2)*(2x-1)y`=(2x-1)/(2√(x+2))+2√(x+2)=(6x+7)/(2√(x+2))
    • Автор:

      xena8eih
    • 6 лет назад
    • 0
  • (√(х+2)*(2x-1))`=((x+2)¹/²*(2x-1))`=(2x-1)/(2(√(x+2))+2√(x+2)==(6x+7)/(2√(x+2)).
  • Добавить свой ответ

Войти через Google

или

Забыли пароль?

У меня нет аккаунта, я хочу Зарегистрироваться

How much to ban the user?
1 hour 1 day 100 years