• Выясните , равна дробь нулю или она не имеет смысла

    question img

Ответы 1

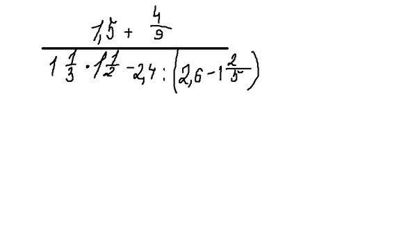
  • Дробь равна нулю тогда когда ее числитель равен нулю а знаменатель нет.в данном случае знаменатель равен нулю,значит дробь не имеет смысла .4/3*3/2-2,4/(2,6-1,4)=2-2,4/1,2=2-2=0
  • Добавить свой ответ

Войти через Google

или

Забыли пароль?

У меня нет аккаунта, я хочу Зарегистрироваться

How much to ban the user?
1 hour 1 day 100 years