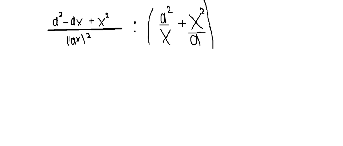
• ПОМОГИТЕЕЕЕЕ....ПОЖАЛУЙСТА....ПРЕДСТАВЬТЕ ВЫРАЖЕНИЕ В ВИДЕ ДРОБИ

    question img

Ответы 5

  • http://znanija.com/task/13686126 Я решила всё на черновике , кроме задачи ..
  • возможно не правильно , можешь выражение тождество и уравнение тоже решить
    • Автор:

      monster23
    • 6 лет назад
    • 0
  • Можешь помочь решить задачу
  • какую?
  • Помоги решить задачи по геометрии ?
  • Добавить свой ответ

Войти через Google

или

Забыли пароль?

У меня нет аккаунта, я хочу Зарегистрироваться

How much to ban the user?
1 hour 1 day 100 years