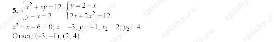
Иксы в уравнении (х) можно найти через дискриминант (х1 , х2) а как найти у ( игреки) ?
Вот для данной системы уравнения, как тут нашлись игреки (у) ?
Автор:
dreamerltlkДобавить свой ответ
6хв квадрате-13х-5=0 решить квадратное уравнение
Лампа сопротивление нити накала которой 10 Ом включена на 10 мин в цепь, где сила тока равна 0,1 А. сколько энергии в ней выделилось?
Предмет:
ФизикаАвтор:
waltervhcqОтветов:
Смотреть
Предмет:
Английский языкАвтор:
amazonatgdОтветов:
Смотреть
Запишите вв один столбик склоняемые сущ., а в другой столбик несколняемные сущ.. Допишите в каждый столбик свои примеры.
Вот слова:
Эскимо,кино, ведро, метро, пианино, озеро, депо, окно , фойе, горе,море, кофе,кафе,печенье, реле,мелколесье, раздолье.
Предмет:
Русский языкАвтор:
troy80Ответов:
Смотреть