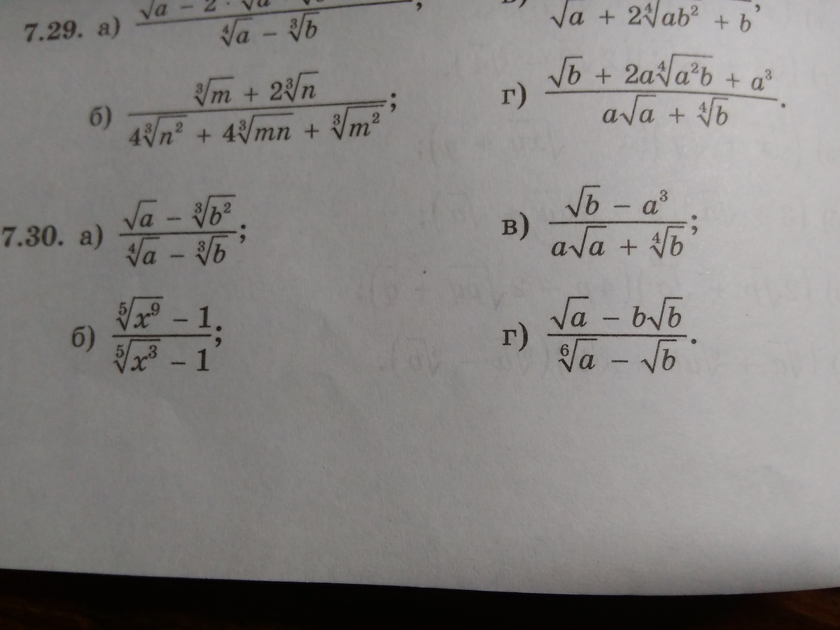
• Помогите пожалуйста решить, как можно подробней номер 7.30 под а и в.
    Сократите дроби, считая, что переменные принимают неотрицательные значения.

    question img

Ответы 1

  • решение во вложении----------------------------------
    answer img
  • Добавить свой ответ

Войти через Google

или

Забыли пароль?

У меня нет аккаунта, я хочу Зарегистрироваться

How much to ban the user?
1 hour 1 day 100 years