• Задание для 11 класса. 
     Во вложении, помогите, очень нужно, СРОЧНО!!!!

    question img

Ответы 2

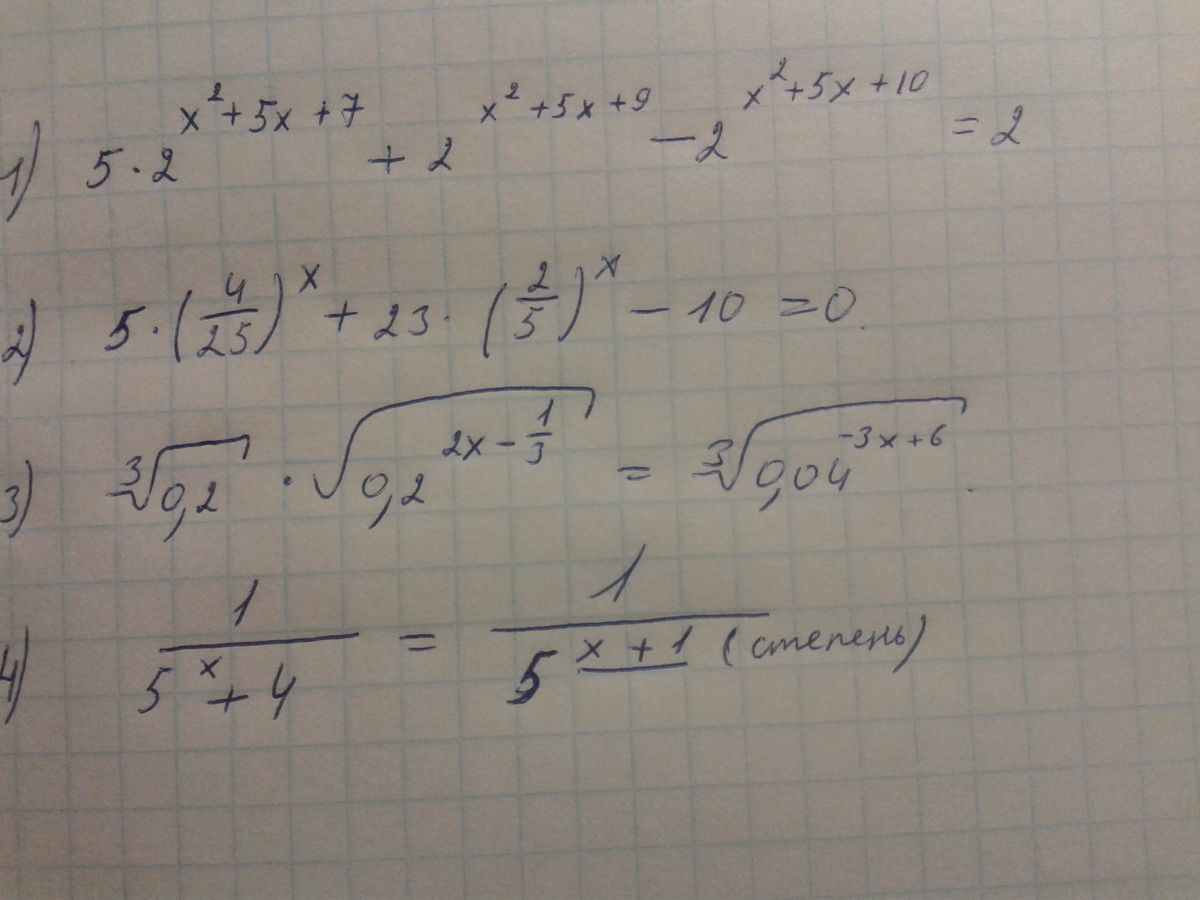
  • 2) 5(2\5)^2x + 23 (2\5)^x-10=0 

    2\5^x=t

    5t^2-23t-10=0

    d=729

    t1=5

    t2=2\5

    2\5^x=2\5 x=1

    2\5^x=5  x=log2\5^x (log2\5^x) ^ 5 

    • Автор:

      rubiozm95
    • 6 лет назад
    • 0
  • 1)

    5\cdot 2^{x^2+5x+7}+2^{x^2+5x+9}-2^{x^2+5x+10}=2 \\ 5\cdot 2^{x^2+5x+7}+2^2\cdot 2^{x^2+5x+7}-2^3\cdot 2^{x^2+5x+7}=2 \\ 2^{x^2+5x+7}\cdot(5+2^2-2^3)=2 \\ 2^{x^2+5x+7}=2 \ => \\ x^2+5x+7=1 \\ x^2+5x+6=0 \\ x_1=-2 \ x_2=-3

    3)

    \sqrt[3]{0,2}\cdot \sqrt{0,2^{2x-\frac{1}{3}}}=\sqrt[3]{0,04^{-3x+6}} \\ 0,2^{\frac{1}{3}} \cdot 0,2^{x-\frac{1}{6}}=\sqrt[3]{0,2^{-6x+12}} \\ 0,2^{\frac{1}{3}} \cdot 0,2^{x-\frac{1}{6}}=0,2^{-2x+4} \\ 0,2^{x+\frac{1}{6}}=0,2^{-2x+4} \ => \\ x+\frac{1}{6}=-2x+4 \\ 3x=\frac{23}{6} \\ x=\frac{23}{18}

    4)

    \frac{1}{5^x+4}=\frac{1}{5^{x+1}} \\ 5^{x+1}=5^x+4 \\ 5 \cdot 5^x = 5^x+4 \\ 4 \cdot 5^x = 4 \\ 5^x = 1 \\ x=0

    • Автор:

      kierra
    • 6 лет назад
    • 0
  • Добавить свой ответ

Еще вопросы

Войти через Google

или

Забыли пароль?

У меня нет аккаунта, я хочу Зарегистрироваться

How much to ban the user?
1 hour 1 day 100 years