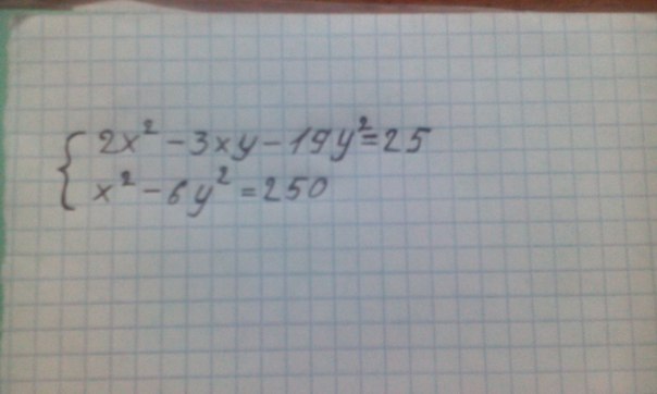
• пожалуйста помогите решить данную систему уравнения:

    question img

Ответы 2

  • спасибо тебе)
    • Автор:

      katherine
    • 6 лет назад
    • 0
  • решение на двух листах
    answer img
    • Автор:

      lizzy
    • 6 лет назад
    • 0
  • Добавить свой ответ

Войти через Google

или

Забыли пароль?

У меня нет аккаунта, я хочу Зарегистрироваться

How much to ban the user?
1 hour 1 day 100 years