• Помоги пожалуйста,срочно нужно,а я не помню как решать

    question img

Ответы 5

  • неправильно
    • Автор:

      jenna67
    • 6 лет назад
    • 0
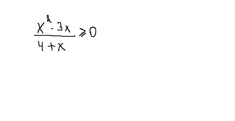
  • знаменатель не должен быть равен 0. 4+x не равно 0. x не равно -4
    • Автор:

      camryn
    • 6 лет назад
    • 0
  • дальше на прямой числа -4 (выколото) 0 и 3. (- бесконечность;-4) u [0;3] отрицательное. (-4;0] u [3; + бесконечность) положительное
    • Автор:

      angel60
    • 6 лет назад
    • 0
  • x^2-3x=0x не равно -4x(x-3)=0x=0 или x-3=0             x=3метод интервалов(-4;0] u [3; + бесконечность)
  • х^2-3х/4+х>или=0;х^2-3х>или=0;х(х-3)>или=0;х=0; х=3;Отмечаем эти точки на числовой прямой. Получаем: 3 лежит правее 0. Решаем следующее неравенство:4+х>или=0;-х>или=-4;х<или=4;Отмечаем эту точку.Ответ: 3<или=х<или=4; или [3; 4].
    • Автор:

      edgar254
    • 6 лет назад
    • 0
  • Добавить свой ответ

Войти через Google

или

Забыли пароль?

У меня нет аккаунта, я хочу Зарегистрироваться

How much to ban the user?
1 hour 1 day 100 years