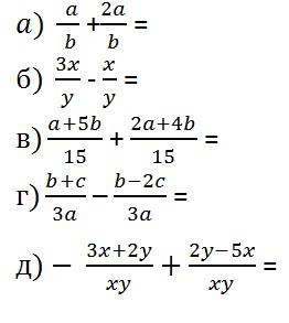
• срочно помогите пожалуйста
    На фото все написано

    question img

Ответы 1

  • а) 3а/bб) 2х/ув) 3а+9b / 15г) 3c/3a=c/aд) - 8х/ху= -8/у
  • Добавить свой ответ

Войти через Google

или

Забыли пароль?

У меня нет аккаунта, я хочу Зарегистрироваться

How much to ban the user?
1 hour 1 day 100 years