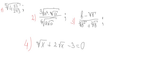
1 ) вычислите
2) упростите выражение
3) Сократите дробь
4) Решите уравнение
Предмет:
АлгебраАвтор:
shuttershywfsd1)переводим в неправильную дробь получается 1024/243 в корне пятой степени. = 4/3
Автор:
davinzg7sДобавить свой ответ
В поп-группе Дубинушки InterRussia участвует семья Онучкиных: Илья Ильич, Илья Лукич, Лука Ильич, Лука Лукич, Лука Фомич, Фома Ильич и Фома Лукич. Главный у них поёт, его папа крутит ручку шарманки, братья таскают усилитель, а трое сыновей стучат в бубен. Какое имя-отчество у певца?
Предмет:
Другие предметыАвтор:
eliashuntОтветов:
Смотреть
чем отличаются горные реки от равнинных
Предмет:
ГеографияАвтор:
buckeyerlwfОтветов:
Смотреть
Скорость передачи данных через ADSL-соединение равна 1024000 бит/с. Сколько минут займет передача файла размером 600000 Кбит через данное соединение
Предмет:
ИнформатикаАвтор:
troy80Ответов:
Смотреть
сочинение на тему учитель в моей школьной жизни
Предмет:
ЛитератураАвтор:
nickieqc59Ответов:
Смотреть