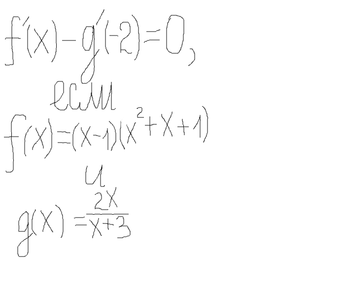
• решите уравнение с производными (задание во вложении)

    question img

Ответы 4

  • спасибо,но можете пожалуйста четче сфотографировать низ решения..(там плохо видно)
  • теперь думаю хорошо видно
  • спасибо большое)
  • \\\\\\\\\\\\\\\\\\\\\\\\\\\\
    answer img
    • Автор:

      jaydan
    • 6 лет назад
    • 0
  • Добавить свой ответ

Войти через Google

или

Забыли пароль?

У меня нет аккаунта, я хочу Зарегистрироваться

How much to ban the user?
1 hour 1 day 100 years