• Помогите, прошу! Буду благодарная! Не получается ни в какую!

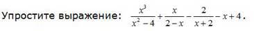
    question img

Ответы 2

  • Спасибо Вам огромное, но это тестовый сервис проверки знаний учащихся по математике. И так в графе для ответа, нельзя писать русскими буквами какие-то слова. И учитель говорил, что во всех заданиях ответ есть. Я в замешательств.
  • ОЗ (x-2)(x+2)≠0⇒x≠≠2 U x≠-2x³/(x-2)(x+2)-x/(x-2)-2/(x+2)=x+4x³-x(x+2)-2(x-2)=(x+4)(x²-4)x³-x²-2x-2x+4-x³+4x-4x²+16=020-5x²=05(2-x)(2+x)=0x=2  не удов услх=2 не удов услОтвет решения нет
  • Добавить свой ответ

Войти через Google

или

Забыли пароль?

У меня нет аккаунта, я хочу Зарегистрироваться

How much to ban the user?
1 hour 1 day 100 years