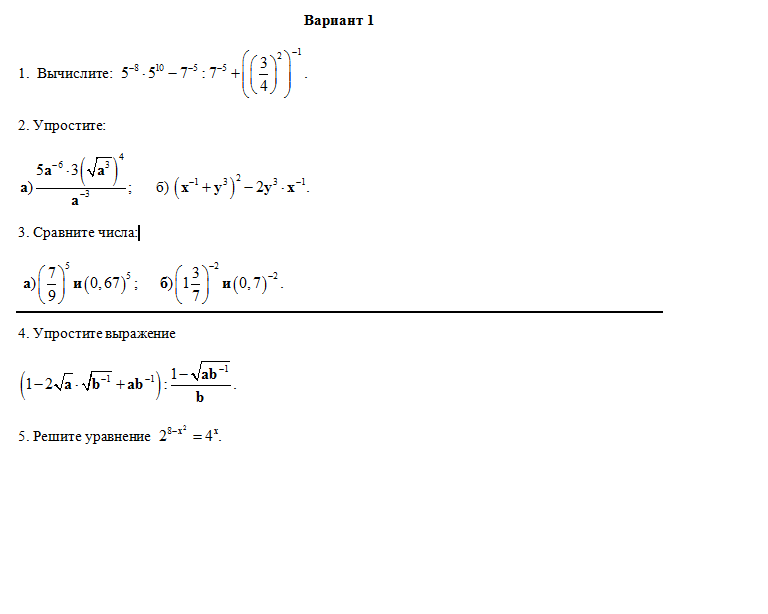
• ПОЖАЛУЙСТА ПОМОГИТЕ РЕШИТЬ завтра контрольная работа по этой теме прошууу

    question img

Ответы 1

  • о боже мой ,я уже и не расщитывала ни на чью помощь ,огромнейшее тебе спасибо))))))ты меня выручил
  • Добавить свой ответ

Еще вопросы

Войти через Google

или

Забыли пароль?

У меня нет аккаунта, я хочу Зарегистрироваться

How much to ban the user?
1 hour 1 day 100 years