Ответ: 15, 3
Автор:
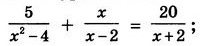
justice245/(х-2)(х+2) + х/х-2 = 20/ х+2 = общий множитель (х-2)(х+2), 5+х(х+2)=20(х-2) /(х-2)х+2)= 5+х2+2х=20х-40/(х-2)(х+2)=х2+2х-20х=минус 5 - 40 и все это деленное на (х-2)(х+2)= а дальше сами
Автор:
candycanelpxsДобавить свой ответ
1. Найдите разносклоняемое имя существительное:
а) пламя;
б) дума;
в) стрела;
г) метро.
2. Какой суффикс в слове знамя в родительном падеже?
а) -ен-;
б) -ин-;
в) -ян-.
3. Найдите несклоняемое имя существительное:
а) купе;
б) платье;
в) дело;
г) имя.
15. Слово (пол)мандарина пишется:
а) слитно;
б) раздельно;
в) через дефис.
16. Найдите существительное, образованное приставочно-суффиксальным способом:
а) безоблачность;
б) орешник;
в) подосиновик;
г) паровоз.
17. Слова какой части речи изменяются по родам, падежам, числам, могут иметь краткую форму:
а) существительные;
б) прилагательные;
в) местоимения;
г) наречия.
18. В каком слове нужен ь:
а) шалаш?);
б) товарищ(?);
в) дремуч(?);
г) дач(?);
д) береч(?).
19. Какое из данных существительных имеет только множественное число:
а) вьюги;
б) метели;
в) заморозки;
г) оттепели.
20. Укажите существительное, у которого в родительном, дательном и предложном падежах единственного числа пишется на конце -ии;
а) территория;
б) батарея;
в) аллея;
г) песня.
Предмет:
Русский языкАвтор:
alexiscwmsОтветов:
Смотреть
№465 Употребите слова так, чтобы получилось олицетворение. ОБРАЗЕЦ: Погода капризничает, ветерок ласкает щеки. Вздохнуть,гладить,злиться,плакатьвеселиться,грустить,зависть,задыхаться,сомневаться,удивляться.
№464 1)Задремали звёзды золотые, Задрожало зеркало затона. 2)Рыжий месяц жеребёнком Запрягался в наши сани. 3)Улыбнулись сонные берёзы, растрепали шёлковые косы. Шелестят зелёные серёжки, И горят серебряные росы.Найдите метафоры,олицетворения,и эпитеты.
Предмет:
Русский языкАвтор:
autumn2eyxОтветов:
Смотреть
Помогите пожалуйста! Мне очень сильно нужна помощь! ЕССЕ на тему "Мир освещается солнцем, а человек знанием". Заранее спасибо
Предмет:
ОбществознаниеАвтор:
yandelОтветов:
Смотреть
сколько диагоналей можно провести из каждой вершины 5- ,6-,8-, n -угольных многоугольников?НУУУ люди пожалуйста...