• решите кто сможет
    нужно сократить
    очень срочно((((

    question img

Ответы 1

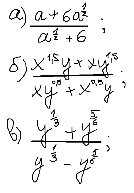
  • a)Вынесем a ^1/2:a^1/2*(a^1/2+6)/(a^1/2+6)  скобки сокращаются ,ответ:a^1/2б)Вынесем из числителя x*y а из знаменателя x^0.5*y^0.5скобки сокращаются,остается (xy)/(x^0.5*y^0.5)=x^0.5*y^.05ответ :x^0.5*y^0.5в)Вынесем y^1/3(оно сокращается) и остается дробь (1+y^0.5)/1-y^0.5ответ: (1+y^0.5)/(1-y^0.5)
    • Автор:

      cindy90
    • 6 лет назад
    • 0
  • Добавить свой ответ

Войти через Google

или

Забыли пароль?

У меня нет аккаунта, я хочу Зарегистрироваться

How much to ban the user?
1 hour 1 day 100 years