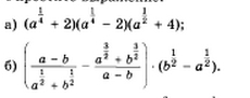
• упростите выражение (a^(1/4)+2)(a^(1/4)-2)(a^(1/2)+4)

    question img

Ответы 4

  • Пожалуйста, решите под б) Очень прошу
  • что-то у меня не выходит ничего хорошего. если получится, то добавлю
  • спасибо, что постаралась)) Я уже решил) можешь дать ссылку вк, хотя бы голоса подарю)
    • Автор:

      mac
    • 6 лет назад
    • 0
  • _________________________________
    answer img
    • Автор:

      lucano
    • 6 лет назад
    • 0
  • Добавить свой ответ

Еще вопросы

Войти через Google

или

Забыли пароль?

У меня нет аккаунта, я хочу Зарегистрироваться

How much to ban the user?
1 hour 1 day 100 years