• Помогите с алгеброй, даю 18 баллов.

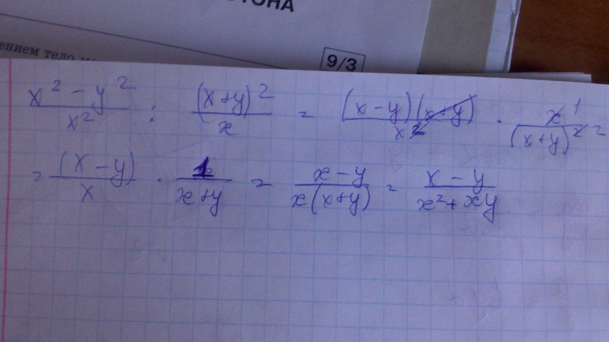
    Помогите преобразовать это: А) 2ab+4b/3a*6a^2/a^2b-4b=2b(a+2)/3a*6a^2/b(a^2-4)=2b(a+2)/1*2a/b*(a-2)(a+2) ( 6a^2 и 3а сокращаем и (a+2) сокращаем)=2b/1*2a/b(a-2)=4a/a-2

    В этот вид как на листке:



    10 баллов за ответ

    question img

Ответы 1

  • 20----------20             5-------   -   ------с+4с          с
    • Автор:

      brendon
    • 6 лет назад
    • 0
  • Добавить свой ответ

Войти через Google

или

Забыли пароль?

У меня нет аккаунта, я хочу Зарегистрироваться

How much to ban the user?
1 hour 1 day 100 years