• ПОМОГИТЕ, ПОЖАЛУЙСТА, КАК МОЖНО СКОРЕЕ!!!
    Алгебра 10-11 класс Автор: Алимов

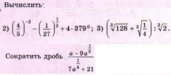
    question img

Ответы 3

  • Спасибо огромнейшее! Очень выручили! )
  • могу ли я попросить вас о помощи ещё раз?
  • Решение смотри в приложении
    answer img
    • Автор:

      holden265
    • 6 лет назад
    • 0
  • Добавить свой ответ

Войти через Google

или

Забыли пароль?

У меня нет аккаунта, я хочу Зарегистрироваться

How much to ban the user?
1 hour 1 day 100 years