• Решите хоть что-то)
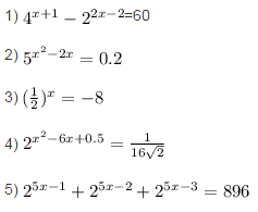
    1) [tex] 4^{x+1} - 2^{2x-2} [/tex]=60
    2) [tex]5^{ x^{2}-2x } =0.2[/tex]
    3) [tex]( \frac{1}{2}) ^{x} =-8[/tex]
    4) [tex]2^{ x^{2}-6x+0.5}= \frac{1}{16 \sqrt{2} } [/tex]
    5) [tex] 2^{5x-1}+2^{5x-2}+2^{5x-3} =896[/tex]

    question img

Ответы 3

  • можно пятый подробнее ?)
    • Автор:

      hines
    • 6 лет назад
    • 0
  • Можете пояснить 5 номер вторую строчку?
  • Решение смотри в приложении
    answer img
    • Автор:

      holden265
    • 6 лет назад
    • 0
  • Добавить свой ответ

Еще вопросы

Войти через Google

или

Забыли пароль?

У меня нет аккаунта, я хочу Зарегистрироваться

How much to ban the user?
1 hour 1 day 100 years